電力電子中PI參數的計算之二—— 應配置成什麼樣的系統呢?
01-26
上一篇說了怎麼確定系統的傳遞函數,接下來就應該通過選擇合適的PI參數,來配置系統的開環傳遞函數。首先說為啥只研究系統的開環傳遞函數?這是因為閉環傳遞函數比較複雜,特點不鮮明,同時所有的控制都是負反饋,所以只要開環傳遞函數確定了,閉環傳遞函數的特性也唯一了。本文先分析一下開環傳遞函數的幾個特點,然後說一說電力電子控制中常用的兩種傳遞函數。
推薦閱讀:
1、開環傳遞函數的幾個特徵
1.1 低頻增益
低頻增益就是頻率接近0時(直流分量),幅頻特性的縱坐標值,如下圖的藍色圈所示。這個值決定了閉環系統的穩態精度。


1.2 高頻增益
高頻增益就是頻率比較高的增益,如下圖藍框所示。這一段增益決定了系統抗干擾的能力。
大家所熟知的干擾,大部分都是什麼脈衝、白雜訊、擾動之類,都含有高頻成分。開環傳遞函數對高頻的增益越低,衰減就越大,就不會對系統造成太大的擾動。所以我們希望高頻段能快速降到0db一下,斜率越陡越好。
1.3 帶寬
帶寬就是開環幅頻特性過0db所對應的頻率Wc,也叫截止頻率,如下圖藍框所示。截止頻率越高,代表系統響應速度越快。截止頻率以下,增益大於1,截止頻率以上,增益小於1。也就是說,截止頻率越高,系統能響應的信號頻率也就越高,當然響應速度也就越快了。
1.4 相角裕度
相角裕度,就是在截止頻率處,相頻特性對應的相角和-180度之間的舉例,如下圖所示。相角裕度決定了系統的穩定性。該值越大,系統越穩定。-180度是不穩定的點,這是因為-180度就相當於反向,乘以了-1,就把本身的負反饋變成了正反饋,系統就失穩了。-180度就是一個懸崖,在離懸崖越遠的地方蹦騰,就越安全。
2 常用的開環傳遞函數
首先說一個概念,n型系統。
對於開環傳遞函數,分母中有r個s,就是r型系統。0型系統,分母中沒有s,低頻增益是一個有限值,會有穩態誤差。3型及以上系統很難穩定,因為分母的一個s就是90度響應,多個s相角裕度很快就沒有了。所以常用的就是I型和II型系統。
2.1 I型系統



在配置中,通常取KT=0.5,來權衡快速性和穩定性。
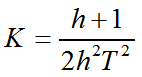
2.2 II型系統



K和h的關係為


推薦閱讀:
※電影里撐傘跳樓的場景,到底靠譜嗎?
※Abaqus/Explicit動力學模擬案例
※干樹枝如何做防腐防蟲的處理?
※圖形學中的高逼格物理模擬動畫是如何渲染出來的?
